Teoria de Véas-Souche
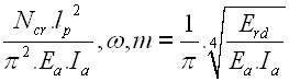
O cálculo da força Nc é realizado a partir dos gráficos propostos por Véas e Souche (ver bibliografia). Os gráficos para a determinação da força normal crítica Ncr estão desenhados para parâmetros adimensionais ω,m:

onde: | lP | - | comprimento da microestaca |
Ea*Ia | - | rigidez de flexão do tubo de reforço da microestaca | |
ω | - | rácio entre o comprimento livre da microestaca (a partir do início da base) e o seu comprimento no solo | |
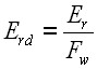
Erd | - | valor de dimensionamento do módulo de reação horizontal |

onde: | Er | - | |
Fw | - | coeficiente de redução do valor de Er (Fw = 1.25) |
Bibliografia:
Véase, Souche: Étude du fla,berment de pieux partiellernent immergés dans offrant latéralement une réaction élastique pure, Annales de I’ITBTP, No. 423, Sene Soils et Foundations, 187, mars - avril 1984, str. 38 - 60 (French).