Verificação de acordo com a Teoria dos Estados Limite
Ao executar a análise de verificação de acordo com a teoria dos estados limite, é possível inserir os valores para os coeficientes de dimensionamento pretendidos, na secção "Estaca".
O programa realiza a verificação para uma estaca comprimida segundo:
![]()
onde: | Rc | - | resistência à compressão da estaca |
Rb | - | resistência da base da estaca | |
Rs | - | resistência do poço da estaca | |
γb | - | fator parcial para a resistência da base da estaca | |
γs | - | fator parcial para a resistência do poço da estaca | |
Vd | - | carga vertical extrema atuante na estaca | |
Wp | - | peso próprio da estaca |
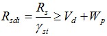
Para uma estaca tracionada, a verificação é realizada segundo:

onde: | Rsdt | - | resistência à tração da estaca |
Rs | - | resistência do poço da estaca | |
γst | - | fator parcial para a resistência do poço da estaca | |
Vd | - | carga vertical extrema atuante na estaca | |
Wp | - | peso próprio da estaca |